¿Tengo coronavirus? La guía de Sanidad para detectar casos sospechosos y cómo proceder ante ellos
Haber viajado a zonas de riesgo, tener contacto cercano con un caso positivo y padecer una infección respiratoria son algunos de los criterios para filtrar posibles afectados


El goteo de casos positivos por coronavirus en España no ha cesado en las últimas dos semanas y la alarma social ante eventuales sospechosos ha saturado las centralitas de los servicios de emergencias. Como la enfermedad que provoca el virus tiene unos síntomas similares a los de un resfriado o la gripe común, la alarma ya salta ante un simple moqueo. Sin embargo, el Ministerio de Sanidad dispone de un protocolo que prioriza claramente los casos sospechosos y cómo proceder. Esta guía, no obstante, es dinámica y se modifica a medida que la evolución del virus lo requiera.
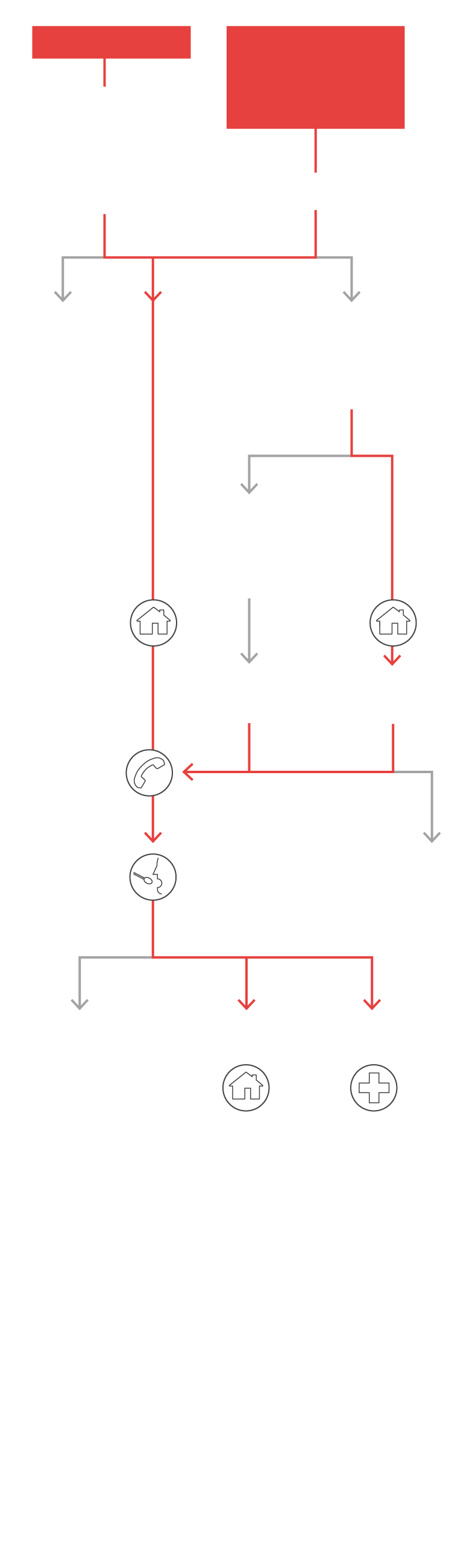
Tiene síntomas
Ha estado en zonas de riesgo* o en contacto con un contagiado
¿Ha estado en zonas de riesgo* o en contacto con un contagiado?
¿Tiene síntomas?
No
Sí
No
Acuda a su
médico como
una consulta
habitual
¿Ha estado
en contacto
estrecho** con
un contagiado?
No
Sí
Haga vida
normal y
vigile sus
síntomas
Aíslese
Aíslese
Solo si aparecen
síntomas
¿Aparecen
síntomas?
Llame
al 112 o
teléfono
local
Sí
No
Continúe hasta los 14 días de cuarentena
Test
domiciliario
Negativo
Positivo***
Caso
descartado
Síntomas
leves
Síntomas
graves
Aislamiento
Ingreso
hospitalario
Síntomas
Leves: Tos seca, cansancio, fiebre. Leves menos comunes: Dolor de garganta, diarrea, congestión y/o secrección nasal. Graves: Dificultad para respirar.
* Zonas de riesgo: China, Norte de Italia, Japón, Corea del Sur e Irán en las dos semanas anteriores. En Madrid, el facultativo puede decidir hacerle la prueba sin necesidad de haber viajado.
** Contacto estrecho: Menos de dos metros durante un tiempo continuado.
*** Circunstancias especiales: Un médico estudiará su caso si padece asma, diabetes, etc.
Tiene síntomas
Ha estado en zonas de riesgo* o en contacto con un contagiado
¿Ha estado en zonas de riesgo* o en contacto con un contagiado?
¿Tiene síntomas?
No
Sí
No
Acuda a su
médico como
una consulta
habitual
¿Ha estado
en contacto
estrecho** con
un contagiado?
No
Sí
Haga vida
normal y
vigile sus
síntomas
Aíslese
Aíslese
Solo si aparecen
síntomas
¿Aparecen
síntomas?
Llame al 112
o teléfono
local
Sí
No
Continúe hasta los 14 días de cuarentena
Test
domiciliario
Negativo
Positivo***
Caso
descartado
Síntomas
leves
Síntomas
graves
Aislamiento
Ingreso
hospitalario
Síntomas
Leves: Tos seca, cansancio, fiebre. Leves menos comunes: Dolor de garganta, diarrea, congestión y/o secrección nasal. Graves: Dificultad para respirar.
* Zonas de riesgo: China, Norte de Italia, Japón, Corea del Sur e Irán en las dos semanas anteriores. En Madrid, el facultativo puede decidir hacerle la prueba sin necesidad de haber viajado.
** Contacto estrecho: Menos de dos metros durante un tiempo continuado.
*** Circunstancias especiales: Un médico estudiará su caso si padece asma, diabetes, etc.
Ha estado en zonas de riesgo* o en contacto con un contagiado
Tiene síntomas
¿Ha estado en zonas de riesgo* o en contacto con un contagiado?
¿Tiene síntomas?
No
Sí
No
Acuda a su
médico como
una consulta
habitual
¿Ha estado
en contacto
estrecho** con
un contagiado?
No
Sí
Haga vida normal y
vigile sus síntomas
Aíslese
Aíslese
Solo si aparecen
síntomas
¿Aparecen
síntomas?
Sí
No
Llame al 112 o teléfono local
Continúe hasta los 14 días de cuarentena
Test domiciliario
Negativo
Positivo***
Caso
descartado
Síntomas
leves
Síntomas
graves
Aislamiento
Ingreso hospitalario
Síntomas
Leves: Tos seca, cansancio, fiebre. Leves menos comunes: Dolor de garganta, diarrea, congestión y/o secrección nasal. Graves: Dificultad para respirar.
* Zonas de riesgo: China, Norte de Italia, Japón, Corea del Sur e Irán en las dos semanas anteriores. En Madrid, el facultativo puede decidir hacerle la prueba sin necesidad de haber viajado.
** Contacto estrecho: Menos de dos metros durante un tiempo continuado.
*** Circunstancias especiales: Un médico estudiará su caso si padece asma, diabetes, etc.
¿Tengo coronavirus?
Seguramente, no. De hecho, la mayor parte de las pruebas que se hacen a casos sospechosos salen negativas. Solo en Cataluña, de los más de 600 casos estudiados, solo 38 han dado positivo. Con todo, el protocolo del Ministerio de Sanidad identifica perfectamente a las personas que tienen todas las papeletas para ser sospechosas de coronavirus. Se dividen en dos grupos:
Infección respiratoria aguda y viaje de riesgo o contacto con infectado. Sanidad pondrá bajo la lupa a todas aquellas personas que presenten un cuadro clínico de infección respiratoria aguda (con fiebre, tos seca o problemas respiratorios, entre otros síntomas) y, además, hayan estado en contacto cercano con una persona infectada o, en su defecto, hayan viajado a zonas de riesgo.
Por contacto cercano, los expertos entienden que es una persona que haya estado a menos de dos metros de distancia y durante un período de tiempo largo con un caso positivo mientras este tenía síntomas. “Hablamos de contactos próximos y prolongados. Estamos convencidos de que un contacto ocasional no es un factor de especial riesgo. Si vives con esa persona o duermes con ella, es contacto cercano. Si te cruzas por la calle con alguien, no tiene por qué pasar nada”, apostilla el doctor Toni Trilla, jefe de Epidemiología del hospital Clínic de Barcelona. Compartir un viaje en avión también se considera contacto cercano si uno ha estado en un radio de dos asientos alrededor de un caso positivo.
Según la evolución del virus, Sanidad también actualiza cuáles son las llamadas zonas de riesgo. Son los países donde hay una transmisión sostenida del virus. Actualmente, se trata de China, Corea del Sur, Japón, Singapur, Irán y las regiones italianas de Lombardía, Véneto, Emilia-Romaña y Piamonte.
Personas hospitalizadas con infección respiratoria grave. Sanidad ha incluido como sospechosos a los que monitorizar a cualquier persona hospitalizada por una infección respiratoria aguda grave (como neumonías, síndrome de distrés respiratorio agudo, fallo multiorgánico, shock séptico, ingreso en UCI o fallecimiento) en las que no se haya encontrado el origen o el microorganismo causante de la infección.
¿Qué ocurre si cumplo los criterios de riesgo de Sanidad?
Si una persona sospecha, según estos criterios de riesgo, que puede estar infectada por coronavirus, ha de ponerse en contacto con los servicios de emergencia a través del teléfono habilitado en cada comunidad autónoma (normalmente, 112 o 061). A partir de ahí, profesionales especializados valorarán su caso y decidirán, siempre bajo un estricto criterio clínico, si se trata de un caso sospechoso o no.
En caso de que las autoridades sanitarias cataloguen a una persona como un caso en investigación, un equipo de salud pública o de emergencias pasará por su domicilio para tomar una muestra orofaríngea del sospechoso y hacer la prueba que confirme o descarte el caso. El procedimiento, llamado reacción en cadena de la polimerasa (PCR, por sus siglas en inglés), busca la carga viral a partir de la muestra de garganta y suele tardar unas cuatro horas.
Hasta que salga el resultado de la prueba, los médicos recomiendan mantenerse aislado en casa y evitar aglomeraciones o contactos cercanos con otras personas.
¿Y si no tengo síntomas pero he estado en contacto con un caso positivo?
Dependiendo de la cercanía que haya tenido con el paciente infectado, las autoridades sanitarias decidirán si es un contacto estrecho al que someter a vigilancia activa o no.
De ser considerado un contacto que requiere vigilancia, el protocolo del Ministerio de Sanidad recomienda el aislamiento domiciliario durante 14 días para evitar una eventual transmisión del virus. Aunque haya estado en contacto con un paciente infectado, si no tiene síntomas, no será sometido a la prueba PCR. Solo se le realiza esta prueba a los contactos que presentan algún cuadro clínico compatible con la infección por coronavirus.
Como parte de las actuaciones de salud pública para contener la transmisión del virus, los equipos de salud pública se encargan de acotar los contactos de riesgo de una persona infectada. Estudian todo su entorno y aquellos que han tenido un contacto directo (menos de dos metros) y sostenido durante un período de tiempo mientras el afectado tenía síntomas, son aislados preventivamente.
Aunque estén sanas, las autoridades sanitarias les recomiendan que se confinen en su casa o reduzcan al mínimo posible las situaciones donde compartan espacio con mucha gente. También han de tomarse la temperatura un par de veces al día y, en caso de iniciar alguna sintomatología, ponerse en contacto con el departamento de salud pública competente.
¿Qué ocurre si he estado cerca de un contacto de un positivo?
Nada. No hay motivo de preocupación. Los expertos insisten en que un contacto de un contacto no es un contacto.
Tu suscripción se está usando en otro dispositivo
¿Quieres añadir otro usuario a tu suscripción?
Si continúas leyendo en este dispositivo, no se podrá leer en el otro.
FlechaTu suscripción se está usando en otro dispositivo y solo puedes acceder a Papallones desde un dispositivo a la vez.
Si quieres compartir tu cuenta, cambia tu suscripción a la modalidad Premium, así podrás añadir otro usuario. Cada uno accederá con su propia cuenta de email, lo que os permitirá personalizar vuestra experiencia en Papallones.
¿Tienes una suscripción de empresa? Accede para contratar más cuentas.
En el caso de no saber quién está usando tu cuenta, te recomendamos cambiar tu contraseña
Si decides continuar compartiendo tu cuenta, este mensaje se mostrará en tu dispositivo y en el de la otra persona que está usando tu cuenta de forma indefinida, afectando a tu experiencia de lectura. Puedes




























































